相關產品推薦更多 >>
關于dn900污水流量計的基本原理分析介紹
點擊次數:2636 發布時間:2020-12-24 02:51:42
dn900污水流量計的基本原理
當通電后的某一固定面積中的磁通量一旦發生變化,此時便會在兩個電極處產生電位差,從而便產生了感生電動勢,而這正是dn900污水流量計的基本工作原理。感生電動勢與回路相交磁通量**間變化的變化率呈現出正相關的關系。而感生電動勢一旦產生就必須要滿足楞次定律。楞次定律表現為感生電動勢與其產生的電流時刻在阻礙回路中磁通Φ的變化。假設感生電動勢為Ei ,則:

從下圖 2.1 中科了解到流體通過的管道在時刻切割磁力線,一旦流體通過管道就可產生感生電動勢,感生電動勢所產生的方向和磁場方向滿足弗萊明右手定律,具體的方向可參考下圖 2.2 中所示內容。


產生的感生電動勢大小為:

式中:
B--磁場磁感應強度 T;
A--磁通量發生變化時所形成的面積2m ;
D--管道直徑,m;
dl--流體通過距離,m;
v--運動速度,m/s;
Ei--產生的感生電動勢,V。
從(2.2)所表示的式子中可以了解到感生電動勢與流速、磁場大小、管道直徑三個因子之間呈現出正相關的關系。
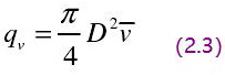
將裝有導電液的管道放置在磁場中,此時流動的導電液可被視為導體本身的運動,并加入兩個電極,此時電極、管道就形成了一個完整的回路,從而將產生感生電動勢。可計算通過管道流體的體積,主要計算公式如下:

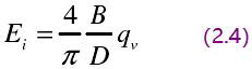
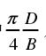
帶入式(2.2),可得:

則:

由式(2.5)所列出的式子中可以明顯的觀察到感生電動勢和流體體積之間呈現出明顯的線性關系,且其線性關系中并不受其它因素的影響。式中

只是一個測量系數,而在此系數中也存在明顯的線性關系,其中當管道直徑 D 發生改變時,磁感應強度 B 將會呈現出與之相反的變現,如此才能保證測量系數的穩定。在dn900污水流量計的使用中通常會選擇通過調整電磁感應強度 B 來維持勵磁電流的穩定,但若是使用線性恒流源進行勵磁電流的保護時需要注意,此時的線性恒流源不能輕易更改其電流的大小。
上述的式子可以簡單的表示dn900污水流量計工作原理,電磁感應原理的基本工作狀態,但針對具體的電磁變化情況,上述式子無法完全詮釋,實際的電磁變化情況遠比式中分析的電磁遠動復雜[。dn900污水流量計在工作的過程中并非只利用了電磁感應原理,還利用到了較多的數學公式,除此之外還有流體力學的參與,因此dn900污水流量計的工作原理十分繁瑣復雜,但在本文的研究中主要以其硬件的設計和開發為主,為了能更直觀便捷的了解到dn900污水流量計的工作原理,將其進行簡化,在此種簡化的基礎上,上述式子中的工作原理便可成立。
當通電后的某一固定面積中的磁通量一旦發生變化,此時便會在兩個電極處產生電位差,從而便產生了感生電動勢,而這正是dn900污水流量計的基本工作原理。感生電動勢與回路相交磁通量**間變化的變化率呈現出正相關的關系。而感生電動勢一旦產生就必須要滿足楞次定律。楞次定律表現為感生電動勢與其產生的電流時刻在阻礙回路中磁通Φ的變化。假設感生電動勢為Ei ,則:

從下圖 2.1 中科了解到流體通過的管道在時刻切割磁力線,一旦流體通過管道就可產生感生電動勢,感生電動勢所產生的方向和磁場方向滿足弗萊明右手定律,具體的方向可參考下圖 2.2 中所示內容。


產生的感生電動勢大小為:

式中:
B--磁場磁感應強度 T;
A--磁通量發生變化時所形成的面積2m ;
D--管道直徑,m;
dl--流體通過距離,m;
v--運動速度,m/s;
Ei--產生的感生電動勢,V。
從(2.2)所表示的式子中可以了解到感生電動勢與流速、磁場大小、管道直徑三個因子之間呈現出正相關的關系。
將裝有導電液的管道放置在磁場中,此時流動的導電液可被視為導體本身的運動,并加入兩個電極,此時電極、管道就形成了一個完整的回路,從而將產生感生電動勢。可計算通過管道流體的體積,主要計算公式如下:

帶入式(2.2),可得:

則:

由式(2.5)所列出的式子中可以明顯的觀察到感生電動勢和流體體積之間呈現出明顯的線性關系,且其線性關系中并不受其它因素的影響。式中

只是一個測量系數,而在此系數中也存在明顯的線性關系,其中當管道直徑 D 發生改變時,磁感應強度 B 將會呈現出與之相反的變現,如此才能保證測量系數的穩定。在dn900污水流量計的使用中通常會選擇通過調整電磁感應強度 B 來維持勵磁電流的穩定,但若是使用線性恒流源進行勵磁電流的保護時需要注意,此時的線性恒流源不能輕易更改其電流的大小。
上述的式子可以簡單的表示dn900污水流量計工作原理,電磁感應原理的基本工作狀態,但針對具體的電磁變化情況,上述式子無法完全詮釋,實際的電磁變化情況遠比式中分析的電磁遠動復雜[。dn900污水流量計在工作的過程中并非只利用了電磁感應原理,還利用到了較多的數學公式,除此之外還有流體力學的參與,因此dn900污水流量計的工作原理十分繁瑣復雜,但在本文的研究中主要以其硬件的設計和開發為主,為了能更直觀便捷的了解到dn900污水流量計的工作原理,將其進行簡化,在此種簡化的基礎上,上述式子中的工作原理便可成立。


