鹽穴儲氣庫造腔站空調水流量計量表選型與可靠性分析
點擊次數:2410 發布時間:2021-09-04 02:41:22
摘要:鹽穴儲氣庫在造腔過程中,空調水流量計量表用于計量注人和排出液體體積,其可靠性直接影響到造腔工程師對造腔進度的監控,及相應施工計劃的安排。除定期檢測外,文章根據巖鹽中泥質不溶物膨松系數在一定范圍這一特征,統計分析生產數據,評價其可靠性。結果表明,空調水流量計量表可靠性能滿足鹽穴儲氣庫造腔生產需要。
空調水流量計量表由流量傳感器和轉換器兩部分組成,與其他類型的流量計相比,空調水流量計量表具有無壓損、口徑大、量程比寬、耐腐蝕、適用于高鉆度介質、性價比高等特點,可充分減小管道內的阻力,符合節能降耗的要求。目前,空調水流量計量表已廣泛應用于造腔生產中,雖然經過定期檢測,但由于被測介質性質及流速等的影響,空調水流量計量表在造腔中的應用效果并未評價。調研結果表明,巖鹽中不溶物膨松系數在特定地區是常數,且往往在一定范圍內,可用生產中溶鹽體積、腔體實際體積、不溶物含量等參數表達。
本文通過介紹空調水流量計量表的測量原理,造腔地面工藝,確定空調水流量計量表在造腔站的適用性,造腔站內空調水流量計量表的選型與安裝,明確一該類流量計的使用符合減小測量誤差及穩定性的要求,再根據日常生產中的注人液體、排出液體體積以及相應的濃度,對溶鹽體積進行計算,結合階段造腔實際體積及不溶物含量,計算不溶物膨松系數,評價流量計的可靠性。
1、電磁流盤計測量原理
空調水流量計量表是利用法拉*電磁感應定律測量,如圖1所示,用于測量電極與運動的流體構成的回路中產生的電參數,并根據公式換算成流體速度,再測量流通截面液位高度得到流通面積,兩者相乘得到所測流量。


式中:Q為被測介質體積流量,m3/s ; Ue為直流式空調水流量計量表用來測量流體橫越磁場時所感生的電動勢,V; B為磁感應強度,T; L為電極間距,即測量管內徑,m;。為液體平均流速,m/s ; k為修正系數。

2、造腔站空調水流量計量表選型
空調水流量計量表選型與安裝應根據工藝條件來確定,主要包括被測介質電導率、溫度、壓力、介質流量范圍、工藝管道的管徑、介質狀態,介質的腐蝕性,工藝管道材質等因素,保證測量的準確度,并根據環境條件選擇防爆及防護等級。
2.1造腔地面工藝
造腔地面工藝分為注水工藝和排鹵工藝。注水過程中,淡水或淡鹵水通過離心泵增壓至匯管,然后通過各井管線流量計計量,進入鹽層。排鹵過程為,溶鹽產生的鹵水依靠自身壓力通過管道計量后,*終進人匯管外輸。
2.2選型及安裝
造腔站空調水流量計量表測量介質主要為鹵水或者淡鹵水,電導性較強,但具有較強的腐蝕性。采用的襯里材料為聚四氟乙烯,電極材料選用哈氏合金(HC),耐腐蝕性能好,能有效預防注人和排出液體含有顆粒雜質、飽和鹵水結晶等問題。防護等級選用IP65用以完全防止外物侵人并防噴射水進人。
在安裝位置方面,各單井注水排鹵流量計在高低壓閥室,與注水泵機組隔離,接地良好。單井注水排鹵管道為DN150,流量計的前直管段長度為87cm,后直管段55cm,同時,在回鹵的低壓閥室,空調水流量計量表安裝在介質的上流處,符合空調水流量計量表安裝要求。
3、造腔站電磁流*計可靠性分析
根據巖鹽中泥質不溶物膨松系數在一定范圍這一特征,通過對金壇儲氣庫的造腔井生產數據進行分析,計算腔體溶鹽量,結合聲吶測腔體積,計算不溶物膨松系數,檢驗空調水流量計量表計量的可靠性。
3.1、鹽層物理化學性質
金壇鹽巖層段巖性主要為鹽巖、含泥鹽巖夾含鹽泥巖、鈣芒硝泥巖、云質泥巖、泥巖、粉砂巖等。對于占鹽巖段so%以上的鹽巖層,主要礦石以石鹽為主,其次為鈣芒硝、石膏,局部出現無水芒硝,雜質主要為粘土礦物,其次為白云巖、碳酸鹽巖等。石鹽的化學組成主要是NaCI,占74.9%一90.8%,其次是Nat S04、CaSO4,其他鹽類甚微。
3.2造腔運行中溶鹽量計算
由于日常造腔中,主要注人淡水或者淡鹵水,離子濃度非常低,且日常化驗中測量了注人液體的氯離子濃度,其他離子未詳細測量,所以在進行溶解鹽體積計算時,注人液體只考慮氯離子。
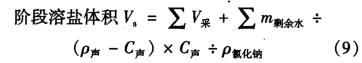
由于每次測腔都有等待和準備時間,所以腔內鹵水濃度會繼續升高,腔體體積擴大。故該階段溶鹽體積應按照式(9)計算:


式中:V,為日溶鹽體積,m3; VA為日采鹽體積,m3 ;場余為腔體擴大后未排出液體的溶鹽體積,m3 ; Vip1*a為腔體擴大后未排出液體體積,m3m剩赫為腔體擴大后未排出的液體中等效淡水溶劑質量,kg;V排-為日排出液體體積,m3m瑰為日注人液體體積,m3; C排為日排出液體氯化鈉質量體積濃度,歲1; C排-為日注人液體氯化鈉質量體積濃度,g/l;C注為日排出液體密度,kg/m3 ; p注為日注人液體密度,kg/m3,P氯化鈉為氯化鈉密度,kg/m3 ; p水為水的密度,kg/m3 ; V8為階段溶鹽體積,m3 ; C聲為聲吶測量時腔體內氯化鈉質量體積濃度,g/1; P聲為聲吶測量時腔體內液體密度,kg/m3kg/M。
由于2016年前并未進行注水濃度化驗,所以本文選擇了2016年至2017年進行造腔并在該時間段內完成設定造腔階段的井進行統計分析,結果如表1所示。
3.3膨松系數
鹽巖礦床不論品位多高,都普遍存在著水不溶物,主要分布在鹽巖層內及夾層中。由于金壇鹽礦不溶物中的一大部分屬于泥巖,主要以粘土礦物中以伊利石為主,其次為伊/蒙混層,無高嶺石,這些枯土礦物的強吸水性及吸水后極易膨松性,會減少腔體有效體積,所以實際溶解鹽的體積并不是腔體體積,它們之間存在以下關系:
式中:Vf為階段腔體有效體積,m3 ; V.為階段溶解的固體鹽體積,m3;。為階段鹽巖中不溶物比例,小數;月為階段鹽巖中不溶物崩落以后的膨松系數,常數。
根據實驗,金壇儲氣庫不溶物膨松系數在1.5-3范圍。由于鹽穴造腔高度近150 m,含多個夾層,夾層含粘土礦物含量不同,所以膨松系數不同,同時夾層的厚度不同,所以利用該方法模擬的腔體體積的評價應根據不同造腔階段來進行。表1列舉了2017年測腔井的階段造腔體積及該階段不溶物含量,并計算該階段的不溶物膨松系數。
從表1可以看出,除竹井外,其他井不溶物膨松系數均在1.5-3范圍,說明造腔站內的空調水流量計量表的準確性和穩定性能夠滿足生產的需要。
3.4誤差分析
根據該方法對鹽穴儲氣庫電磁流*計效果進行評價時,不溶物膨松系數計算誤差主要受下列因素影響。
(1) 注人液體溶液質量濃度化驗誤差。受鹽廠清雄等因素影響,當日供應的淡鹵水濃度可能會出現上午高,下午低的情況,而每天淡水供應化驗的濃度只有上午一個參數,所以對計算結果有一定影響。該誤差可通過增加濃度化驗次數得到有效解決。
(2) 由注人液體中硫酸鈉、硫酸鈣等含*的不確定引起的誤差,但這些礦物在溶液中含量非常少.在一個造腔階段內其影響可忽略。
(3) 流量計計量誤差。現場選用的是準確度等級為0.5級的流量計。檢測報告顯示,流量計實際相對示值誤差較大,這可能導致計算的不溶物膨松系數偏離正常范圍。以77井為例,如表2所示,注人端流量計Fri在30 m'/h時,相對示值誤差達6%,在90 m'/h時,相對示值誤差為3%,明顯大于排出端流量計F12在對應檢測點的相對示值誤差。同時,生產數據顯示,T7井在該造腔階段,Fri示值在30一80 m3/h范圍,這直接導致了計算的注人鹽量偏大,而溶鹽量偏小,*終使不溶物膨松系數偏低。考慮到注人液體溶液質量濃度化驗誤差對于所有同期造腔井的不溶物膨松系數影響結果相近,而除17井外,其他井不溶物膨松系數都在正常范圍內,所以流量計Fri實際側量誤差大是導致竹井不溶物膨松系數偏小的主要原因。
從表2中可以看出,隨流速的增大,相對示值誤差逐漸減小。這可能是由于測量的流體內部雜質在管道內易形成沉淀,雖然采用了聚四氛乙烯作為襯里材料保護電極,但是在低速流狀態下,這些沉淀附著于內襯的表面使測盆結果發生偏差,所以電磁流皿計實際測量誤差必將隨著時間的推移而逐漸增大。為提高空調水流量計量表在鹽穴儲氣庫造腔過程中的測量精度,可采用以下方法。
(1) 調整工藝,在可控范圍內提高流速,減少雜質沉淀.提高測*精度。
(2) 定期清理流量計。
(3) 對于檢測過程中發現的誤差值超過*大允許誤差的流A計,儀表系數偏離原出廠標定的儀表系數時,可根據檢測機構的檢測結果進行儀表系數校準。
4、結束語
綜上所述,空調水流量計量表的準確性和穩定性能夠滿足鹽穴儲氣庫造腔的需要。但是,空調水流量計量表在鹽穴儲氣庫使用中,受待測液體不純的影響,實際的側量誤差**間的推移而逐漸增大,特別是在低流速的情況下,相對示值誤差明顯較大。造腔設計者可根據特定地區巖鹽中不溶物膨松系數在一定范圍內這一特征,進行生產分析,評價流*計計量在使用中的可靠性。對于不溶物膨松系數不在特定范圍內的井,排除濃度檢驗影響后,可通過提高流速,定期清理流量計,儀表系數校準等方式提高測皿的數據的準確性,以便于合理安排造腔計劃.指導造腔施工。
空調水流量計量表由流量傳感器和轉換器兩部分組成,與其他類型的流量計相比,空調水流量計量表具有無壓損、口徑大、量程比寬、耐腐蝕、適用于高鉆度介質、性價比高等特點,可充分減小管道內的阻力,符合節能降耗的要求。目前,空調水流量計量表已廣泛應用于造腔生產中,雖然經過定期檢測,但由于被測介質性質及流速等的影響,空調水流量計量表在造腔中的應用效果并未評價。調研結果表明,巖鹽中不溶物膨松系數在特定地區是常數,且往往在一定范圍內,可用生產中溶鹽體積、腔體實際體積、不溶物含量等參數表達。
本文通過介紹空調水流量計量表的測量原理,造腔地面工藝,確定空調水流量計量表在造腔站的適用性,造腔站內空調水流量計量表的選型與安裝,明確一該類流量計的使用符合減小測量誤差及穩定性的要求,再根據日常生產中的注人液體、排出液體體積以及相應的濃度,對溶鹽體積進行計算,結合階段造腔實際體積及不溶物含量,計算不溶物膨松系數,評價流量計的可靠性。
1、電磁流盤計測量原理
空調水流量計量表是利用法拉*電磁感應定律測量,如圖1所示,用于測量電極與運動的流體構成的回路中產生的電參數,并根據公式換算成流體速度,再測量流通截面液位高度得到流通面積,兩者相乘得到所測流量。


式中:Q為被測介質體積流量,m3/s ; Ue為直流式空調水流量計量表用來測量流體橫越磁場時所感生的電動勢,V; B為磁感應強度,T; L為電極間距,即測量管內徑,m;。為液體平均流速,m/s ; k為修正系數。

2、造腔站空調水流量計量表選型
空調水流量計量表選型與安裝應根據工藝條件來確定,主要包括被測介質電導率、溫度、壓力、介質流量范圍、工藝管道的管徑、介質狀態,介質的腐蝕性,工藝管道材質等因素,保證測量的準確度,并根據環境條件選擇防爆及防護等級。
2.1造腔地面工藝
造腔地面工藝分為注水工藝和排鹵工藝。注水過程中,淡水或淡鹵水通過離心泵增壓至匯管,然后通過各井管線流量計計量,進入鹽層。排鹵過程為,溶鹽產生的鹵水依靠自身壓力通過管道計量后,*終進人匯管外輸。
2.2選型及安裝
造腔站空調水流量計量表測量介質主要為鹵水或者淡鹵水,電導性較強,但具有較強的腐蝕性。采用的襯里材料為聚四氟乙烯,電極材料選用哈氏合金(HC),耐腐蝕性能好,能有效預防注人和排出液體含有顆粒雜質、飽和鹵水結晶等問題。防護等級選用IP65用以完全防止外物侵人并防噴射水進人。
在安裝位置方面,各單井注水排鹵流量計在高低壓閥室,與注水泵機組隔離,接地良好。單井注水排鹵管道為DN150,流量計的前直管段長度為87cm,后直管段55cm,同時,在回鹵的低壓閥室,空調水流量計量表安裝在介質的上流處,符合空調水流量計量表安裝要求。
3、造腔站電磁流*計可靠性分析
根據巖鹽中泥質不溶物膨松系數在一定范圍這一特征,通過對金壇儲氣庫的造腔井生產數據進行分析,計算腔體溶鹽量,結合聲吶測腔體積,計算不溶物膨松系數,檢驗空調水流量計量表計量的可靠性。
3.1、鹽層物理化學性質
金壇鹽巖層段巖性主要為鹽巖、含泥鹽巖夾含鹽泥巖、鈣芒硝泥巖、云質泥巖、泥巖、粉砂巖等。對于占鹽巖段so%以上的鹽巖層,主要礦石以石鹽為主,其次為鈣芒硝、石膏,局部出現無水芒硝,雜質主要為粘土礦物,其次為白云巖、碳酸鹽巖等。石鹽的化學組成主要是NaCI,占74.9%一90.8%,其次是Nat S04、CaSO4,其他鹽類甚微。
3.2造腔運行中溶鹽量計算
由于日常造腔中,主要注人淡水或者淡鹵水,離子濃度非常低,且日常化驗中測量了注人液體的氯離子濃度,其他離子未詳細測量,所以在進行溶解鹽體積計算時,注人液體只考慮氯離子。
由于每次測腔都有等待和準備時間,所以腔內鹵水濃度會繼續升高,腔體體積擴大。故該階段溶鹽體積應按照式(9)計算:


式中:V,為日溶鹽體積,m3; VA為日采鹽體積,m3 ;場余為腔體擴大后未排出液體的溶鹽體積,m3 ; Vip1*a為腔體擴大后未排出液體體積,m3m剩赫為腔體擴大后未排出的液體中等效淡水溶劑質量,kg;V排-為日排出液體體積,m3m瑰為日注人液體體積,m3; C排為日排出液體氯化鈉質量體積濃度,歲1; C排-為日注人液體氯化鈉質量體積濃度,g/l;C注為日排出液體密度,kg/m3 ; p注為日注人液體密度,kg/m3,P氯化鈉為氯化鈉密度,kg/m3 ; p水為水的密度,kg/m3 ; V8為階段溶鹽體積,m3 ; C聲為聲吶測量時腔體內氯化鈉質量體積濃度,g/1; P聲為聲吶測量時腔體內液體密度,kg/m3kg/M。
由于2016年前并未進行注水濃度化驗,所以本文選擇了2016年至2017年進行造腔并在該時間段內完成設定造腔階段的井進行統計分析,結果如表1所示。
3.3膨松系數
鹽巖礦床不論品位多高,都普遍存在著水不溶物,主要分布在鹽巖層內及夾層中。由于金壇鹽礦不溶物中的一大部分屬于泥巖,主要以粘土礦物中以伊利石為主,其次為伊/蒙混層,無高嶺石,這些枯土礦物的強吸水性及吸水后極易膨松性,會減少腔體有效體積,所以實際溶解鹽的體積并不是腔體體積,它們之間存在以下關系:
式中:Vf為階段腔體有效體積,m3 ; V.為階段溶解的固體鹽體積,m3;。為階段鹽巖中不溶物比例,小數;月為階段鹽巖中不溶物崩落以后的膨松系數,常數。
根據實驗,金壇儲氣庫不溶物膨松系數在1.5-3范圍。由于鹽穴造腔高度近150 m,含多個夾層,夾層含粘土礦物含量不同,所以膨松系數不同,同時夾層的厚度不同,所以利用該方法模擬的腔體體積的評價應根據不同造腔階段來進行。表1列舉了2017年測腔井的階段造腔體積及該階段不溶物含量,并計算該階段的不溶物膨松系數。
從表1可以看出,除竹井外,其他井不溶物膨松系數均在1.5-3范圍,說明造腔站內的空調水流量計量表的準確性和穩定性能夠滿足生產的需要。
3.4誤差分析
根據該方法對鹽穴儲氣庫電磁流*計效果進行評價時,不溶物膨松系數計算誤差主要受下列因素影響。
(1) 注人液體溶液質量濃度化驗誤差。受鹽廠清雄等因素影響,當日供應的淡鹵水濃度可能會出現上午高,下午低的情況,而每天淡水供應化驗的濃度只有上午一個參數,所以對計算結果有一定影響。該誤差可通過增加濃度化驗次數得到有效解決。
(2) 由注人液體中硫酸鈉、硫酸鈣等含*的不確定引起的誤差,但這些礦物在溶液中含量非常少.在一個造腔階段內其影響可忽略。
(3) 流量計計量誤差。現場選用的是準確度等級為0.5級的流量計。檢測報告顯示,流量計實際相對示值誤差較大,這可能導致計算的不溶物膨松系數偏離正常范圍。以77井為例,如表2所示,注人端流量計Fri在30 m'/h時,相對示值誤差達6%,在90 m'/h時,相對示值誤差為3%,明顯大于排出端流量計F12在對應檢測點的相對示值誤差。同時,生產數據顯示,T7井在該造腔階段,Fri示值在30一80 m3/h范圍,這直接導致了計算的注人鹽量偏大,而溶鹽量偏小,*終使不溶物膨松系數偏低。考慮到注人液體溶液質量濃度化驗誤差對于所有同期造腔井的不溶物膨松系數影響結果相近,而除17井外,其他井不溶物膨松系數都在正常范圍內,所以流量計Fri實際側量誤差大是導致竹井不溶物膨松系數偏小的主要原因。
從表2中可以看出,隨流速的增大,相對示值誤差逐漸減小。這可能是由于測量的流體內部雜質在管道內易形成沉淀,雖然采用了聚四氛乙烯作為襯里材料保護電極,但是在低速流狀態下,這些沉淀附著于內襯的表面使測盆結果發生偏差,所以電磁流皿計實際測量誤差必將隨著時間的推移而逐漸增大。為提高空調水流量計量表在鹽穴儲氣庫造腔過程中的測量精度,可采用以下方法。
(1) 調整工藝,在可控范圍內提高流速,減少雜質沉淀.提高測*精度。
(2) 定期清理流量計。
(3) 對于檢測過程中發現的誤差值超過*大允許誤差的流A計,儀表系數偏離原出廠標定的儀表系數時,可根據檢測機構的檢測結果進行儀表系數校準。
4、結束語
綜上所述,空調水流量計量表的準確性和穩定性能夠滿足鹽穴儲氣庫造腔的需要。但是,空調水流量計量表在鹽穴儲氣庫使用中,受待測液體不純的影響,實際的側量誤差**間的推移而逐漸增大,特別是在低流速的情況下,相對示值誤差明顯較大。造腔設計者可根據特定地區巖鹽中不溶物膨松系數在一定范圍內這一特征,進行生產分析,評價流*計計量在使用中的可靠性。對于不溶物膨松系數不在特定范圍內的井,排除濃度檢驗影響后,可通過提高流速,定期清理流量計,儀表系數校準等方式提高測皿的數據的準確性,以便于合理安排造腔計劃.指導造腔施工。
上一篇:150口徑冷水流量計


